In this article we take a look at the fifth generation Chevrolet Monte Carlo, produced from 1995 to 1999. Here you will find the Chevrolet Monte Carlo 1995, 1996, 1997, 1998 and 1999 fuse box outline, information on the location of the fuse boxes inside the car, as well as the allocation of each fuse (fuse layout) and relay.
The cigar lighter/socket fuse is fuse №1 (instrument panel and console cigar lighter) in the instrument panel fuse box.
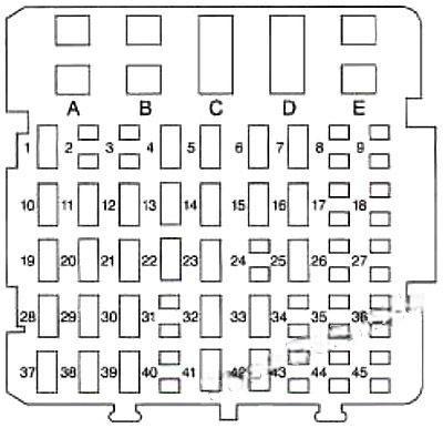
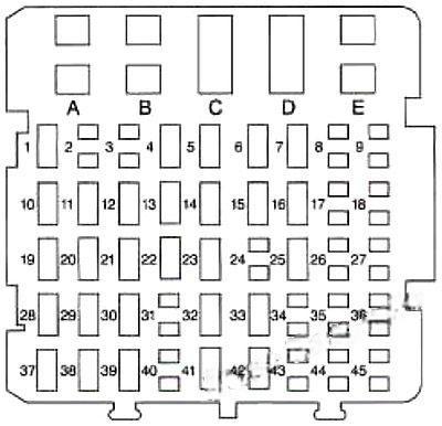
Fuse box location
Instrument Panel
The fuse box is located in the passenger side of the instrument panel, behind the cover.

Engine Compartment
There are two blocks that are located in the engine compartment, one on the passenger side, the other on the driver’s side.

Fuse box diagrams
1995
Instrument Panel

Assignment of the fuses in the Instrument Panel (1995)
| № | Description |
|---|---|
| 1 | CIGAR LIGHTER — Instrument Panel and Console Cigar Lighter |
| 5 | HAZARD FLASHER |
| 10 | I/P ELECTRONICS BATTERY FEED — Chime Module, Electronic Brake Control Module (EBCM), Theft Deterrent Module, Radio |
| 11 | AIR BAG #2 — Sensing and Diagnostic Module (SDM), Starter Relay |
| 12 | ANTI-THEFT — Theft Deterrent Module |
| 14 | HVAC BLOWER MOTOR — Blower Motor Relay |
| 15 | HVAC #1 — Air Temperature Valve Motor, Daytime Running Lamps Module (with DRL), HVAC Control Assembly, Multifunction Lever Cruise Control Switch |
| 16 | REAR DEFOG — HVAC Control Assembly Rear Window Defogger Switch |
| 19 | ER ACCESSORY #1– Door Lock Switches |
| 21 | AIR BAG #1 — Sensing and Diagnostic Module (SDM) |
| 23 | STOPLAMPS — TCC/Brake Switch |
| 24 | HVAC #2 — HVAC Control Assembly, Solenoid Box |
| 28 | CTSY LAMPS — Vanity Mirrors, Defogger Relay, I/P Compartment Lamp, Trunk Courtesy Lamp, Header Courtesy and Reading Lamp, US Lighted Rearview Mirror, Dome Lamp |
| 29 | WIPER — Wiper Switch |
| 30 | TURN SIGNAL — Turn Signal Flasher |
| 32 | POWER LOCKS — Door Lock Relay, Keyless Entry Receiver |
| 33 | ABS — Electronic Brake Control Module (EBCM), ABS Relay |
| 38 | RADIO — Radio |
| 39 | I/P ELECTRONICS IGNITION FEED — Headlamp Switch, Cruise Control Cut-Out Switch, Sensing and Diagnostic Module (SDM), TCCBrake Switch, Instrument Cluster, Chime Module, Keyless Entry Receiver, Daytime Running Lamps Module (with DRL) |
| Circuit Breakers | |
| C | Power Windows |
| D | Power Seats |
Engine Compartment Fuse Box №1 (Passenger Side)

Assignment of the fuses and relay in the Engine Compartment Fuse Box №1 (1995)
| Name/№ | Description |
|---|---|
| R/CMPT REL | Remote Trunk Release |
| ECM BAT | Powertrain Control Module (PCM), Fuel Pump/Oil Pressure Switch, Fuel Pump Relay, Fan Cont #1 Relay |
| TCC | Automatic Transaxle, Transaxle Range Switch (VIN M only) |
| ENG EMIS | Generator, Digital Exhaust Recirculation (DEGR) Valve, Evaporative Emissions (EVAP) Canister Purge Valve Solenoid, Heated Oxygen Sensor, Fan Cont #2 Relay, A/C CMPR Relay (VIN M only) |
| CRUISE | Cruise Control Module, A/C CMPR Relay (VIN X only) |
| F/INJN | Fuel Injectors, High Resolution 24X Crankshaft Position Sensor, Camshaft Position Sensor |
| ECM IGN | Powertrain Control Module (PCM), Mass Air Flow (MAF) Sensor (VIN X only) |
| ELEK IGN | Electronic Ignition (EI) Control Module |
| 10 | I/P Fuse Block |
| 11 | FAN CONT #1 Relay |
| 12 | Passenger Side Underhood Electrical Center and I/P Fuse Blocks: Fuses 5, 14,23 and 32 |
| 13 | FAN CONT #2 Relay and I/P Fuse Block: Fuse 16, Power Seat Circuit Breaker “D” |
| 14 | FUEL PUMP |
| 15 | A/C CMPR |
| 16 | FAN CONT #2 — Secondary Cooling Fan (Passenger Side) |
| 17 | FAN CONT #1– Primary Cooling Fan (Driver Side) |
| 18 | Not Used |
Engine Compartment Fuse Box №2 (Driver Side)

Assignment of the fuses and relay in the Engine Compartment Fuse Box №2 (1995)
| Name/№ | Usage |
|---|---|
| FOG LPS | Fog Lamps |
| PARK LPS | Headlamp Switch |
| HORN | Horn Relay, Underhood Lamp |
| VAR P/S | EVO Steering |
| 10 | IGN SW2 — VP Fuse Block: PWR WDO and Circuit Breaker “D”; Passenger Side Underhood Electrical Center: TCC and ENG EMIS Fuses |
| 11 | IGN SW1 — VP Fuse Block: Radio, Wiper, HVAC, ABS and Turn Signal Fuses; Passenger Side Underhood Electrical Center: F/IJN, ECM IGN and ELEK IGN Fuses |
| 12 | HD LPS — Circuit Breaker to Headlamp Switch |
| 13 | ABS — ABS Relay |
| Relay | |
| 14 | ABS — Anti-Lock Brake System |
| 15 | FOG LPS |
| 16 | HORN |
1996
Instrument Panel

Assignment of the fuses in the Instrument Panel (1996)
| № | Description |
|---|---|
| 1 | CIGAR LIGHTER — Instrument Panel and Console Cigar Lighter |
| 3 | DRL MDL |
| 4 | HVAC #2 — HVAC Control Assembly, Soloneid Box |
| 5 | HAZARD FLASHER |
| 6 | POWER ACCESSORY #2 — Sunroof Control Unit |
| 10 | I/P ELECTRONICS BATTERY FEED — Chime Module, Electronic Brake Control Module (EBCM), Theft Deterrent Module, Radio |
| 11 | STARTER RELAY |
| 12 | ANTI-THEFT — Theft Deterrent Module |
| 13 | ABS — Electronic Brake Control Module (EBCM), ABS Relay |
| 14 | HVAC BLOWER MOTOR — Blower Motor Relay |
| 15 | HVAC #1 — Air Temperature Valve Motor, Daytime Running Lamps Module (with DRL), HVAC Control Assembly, Multifunction Lever Cruise Control Switch |
| 16 | REAR DEFOG — HVAC Control Assembly Rear Window Defogger Switch |
| 19 | POWER ACCESSORY #1– Trunk Courtesy Lamp, Door Lock Switches, Power Mirror Switch |
| 21 | AIR BAG — Air Bag System |
| 23 | STOPLAMPS — TCC/Brake Switch |
| 24 | CRUISE CONTROL |
| 28 | CTSY LAMPS — Vanity Mirrors, Defogger Relay, I/P Compartment Lamp, Header Courtesy and Reading Lamp, I/S Lighted Rearview Mirror, Dome Lamp |
| 29 | WIPER — Wiper Switch |
| 30 | TURN SIGNAL — Turn Signal Flasher |
| 32 | POWER LOCKS — Door Lock Relay, Keyless Entry Receiver |
| 38 | RADIO — Radio, Steering Wheel Radio Switches |
| 39 | I/P ELECTRONICS IGNITION FEED — Headlamp Switch, Cruise Control Cut-Out Switch, Sensing and Diagnostic Module (SDM), TCC/Brake Switch, Instrument Cluster, Chime Module, Keyless Entry Receiver |
| Circuit Breaker | |
| C | Power Windows |
| D | Power Seats |
Engine Compartment Fuse Box №1 (Passenger Side)

Assignment of the fuses and relay in the Engine Compartment Fuse Box №1 (1996)
| Name/№ | Description |
|---|---|
| A.I.R. PMP | A.I.R. Relay |
| R/CMPT REL | Remote Trunk Release, Back-Up Lamps |
| ECM BAT | Powertrain Control Module (PCM), Fuel Pump, Fuel Pump Relay, Fan Cont #1 Relay |
| A/C CONT | A/C CMPR Relay (VIN M only) |
| TCC | Automatic Transaxle, Transaxle Range Switch (VIN M only) |
| F/INJN | Fuel Injectors |
| ECM IGN | Powertrain Control Module (PCM), Mass Air Flow (MAF) Sensor (VIN X only), EGR, CCP, Oxygen Sensor, VAC CAN SW, Fan #2 Relay |
| ELEK IGN | Electronic Ignition (EI) Control Module |
| 10 | I/P Fuse Block |
| 11 | FAN CONT #1 Relay |
| 12 | Passenger Side Underhood Electrical Center and I/P Fuse Blocks: Fuses 5, 14,23 and 32 |
| 13 | FAN CONT #2 Relay and I/P Fuse Block: Fuse 16, Power Seat Circuit Breaker “D” |
| Relay | |
| 14 | FUEL PUMP |
| 15 | A/C CMPR |
| 16 | FAN CONT #2 — Secondary Cooling Fan (Passenger Side) |
| 17 | FAN CONT #1– Primary Cooling Fan (Driver Side) |
| 18 | Ignition Relay |
Engine Compartment Fuse Box №2 (Driver Side)

Assignment of the fuses and relay in the Engine Compartment Fuse Box №2 (1996)
| Name/№ | Usage |
|---|---|
| FOG LPS | Fog Lamps |
| PARK LPS | Headlamp Switch |
| HORN | Horn Relay, Underhood Lam |
| VAR P/S | Steering |
| ABS | Anti-Lock Brake System |
| 10 | IGN SW2 — VP Fuse Block: PWR WDO and Circuit Breaker “D”; Passenger Side Underhood Electrical Center: TCC and ENG EMIS Fuses |
| 11 | IGN SW1 — VP Fuse Block: Radio, Wiper, HVAC, ABS and Turn Signal Fuses; Passenger Side Underhood Electrical Center: F/IJN, ECM IGN and ELEK IGN Fuses |
| 12 | HD LPS — Circuit Breaker to Headlamp Switch |
| 13 | ABS — ABS Relay |
| Relay | |
| 14 | ABS — Anti-Lock Brake System |
| 16 | HORN |
1997
Instrument Panel

Assignment of the fuses in the Instrument Panel (1997)
| № | Description |
|---|---|
| 1 | CIGAR LIGHTER — Instrument Panel and Console Cigar Lighter |
| 4 | WAC– WAC Control Assembly Solenoid Box, Mix Motor, DRL Module, HVAC Control Head, Blower Control Switch |
| 5 | HAZARD FLASHER |
| 6 | R.H. SPOT LAMP (S.E.O.) |
| 10 | UP ELECTRONICS BATTERY FEED — Chime Module, Electronic Brake Control Module (EBCM), Theft-Deterrent Module, Radio, ALDL |
| 11 | STARTER RELAY |
| 12 | ANTI-THEFT — Theft Deterrent Module |
| 13 | ABS — Electronic Brake Control Module (EBCM), ABS Relay |
| 14 | HVAC BLOWER MOTOR — Blower Motor Relay |
| 15 | L.H. SPOT LAMP (S.E.O.) |
| 19 | POWER ACCESSORY (Power)#l — Door Lock Switches, Trunk Courtesy Lamp, O/S Mirror Switch |
| 20 | POWER ACCESSORY #2–(Sunroof) Control Unit |
| 21 | AIR BAG — Air Bag System |
| 22 | CRUISE CONTROL–Cruise Control Cut-Out Switch |
| 23 | STOPLAMPS — TCC/Brake Switch |
| 25 | ENGLISWMETRIC (S.E.O.) |
| 28 | CTSY LAMPS — Vanity Mirrors, IP Compartment Lamp, Header Courtesy and Reading Lamp, US Lighted Rearview Mirror, Dome Lamp |
| 29 | WIPER — Wiper Switch |
| 30 | TURN SIGNAL — Turn Signal Flasher |
| 32 | POWER LOCKS — Door Lock Relay, Keyless Entry Receiver |
| 33 | DRL MODULE |
| 37 | REAR DEFOG–HVAC Control Assembly Rear Window Defogger Switch |
| 38 | RADIO — Radio, Steering Wheel Radio Switches, Power Drop |
| 39 | I/P ELECTRONICS IGNITION FEED — Headlamp Switch, TCCBrake Switch, Instrument Cluster, Chime Module, Keyless Entry Receiver, BTSI SwitchUnderhood Electrical Center – Passenger Side |
| 41 | POWER DROP |
| 42 | ENHANCED EVAP. SOLENOID |
| Circuit Breaker | |
| C | Power Windows |
| D | Power Seats |
Engine Compartment Fuse Box №1 (Passenger Side)

Assignment of the fuses and relay in the Engine Compartment Fuse Box №1 (1997)
| Name/№ | Description |
|---|---|
| R/CMPT REL | Remote Trunk Release, Back-Up Lamps |
| PCM BAT | Powertrain Control Module (PCM), Fuel Pump, Fuel Pump Relay, Fan Cont#l and #2 Relay |
| A/C CONT | A/C CMPR Relay (VIN M only) |
| TRANS | Automatic Transaxle, Transaxle Range Switch (VIN M only) |
| F/INJN | Fuel Injectors |
| PCM IGN | Powertrain Control Module (PCM), Mass Air Flow (MAF) Sensor (VIN X only), EGR, CCP, Oxygen Sensor, Vacuum Canister Switch |
| ELEK IGN | Electronic Ignition (EI) Control Module |
| 10 | I/P Fuse Block |
| 12 | Passenger’s Side Underhood Electrical Center, FPMP Relay, Cooling Fans #I and #2, Ignition Relay, P/N Switch |
| 13 | FAN CONT #1 Relay |
| Relay | |
| 14 | FUEL PUMP |
| 15 | A/C CMPR |
| 16 | FAN CONT #2 — Secondary Cooling Fan (Passenger Side) |
| 17 | FAN CONT #1– Primary Cooling Fan (Driver Side) |
| 18 | Ignition Relay |
Engine Compartment Fuse Box №2 (Driver Side)

Assignment of the fuses and relay in the Engine Compartment Fuse Box №2 (1997)
| Name/№ | Usage |
|---|---|
| FAN#3 | FAN CONT #3 Relay |
| PARK LPS | Headlamp Switch |
| HORN | Horn Relay, Underhood Lamp |
| ABS | Anti-Lock Brake System |
| 11 | IGN SW1 — I/P Fuse Block: Radio, Wiper, HVAC, ABS and Turn Signal Fuses PWR WDO and Circuit Breaker D; Passenger’s Side Underhood Electrical Center: F/IJN, ECM IGN, TCC, ENG EMIS and ELEK IGN Fuses |
| 12 | HD LPS — Circuit Breaker to Headlamp Switch |
| 13 | ABS — ABS Relay |
| Relay | |
| 14 | ABS — Anti-Lock Brake System |
| 15 | FAN CONT #3 — Secondary Cooling Fan (Passenger’s Side) |
| 16 | HORN |
1998, 1999
Instrument Panel

Assignment of the fuses in the Instrument Panel (1998, 1999)
| № | Description |
|---|---|
| 1 | CIGAR LIGHTER — Instrument Panel and Console Cigar Lighter |
| 2 | Not Used |
| 3 | Not Used |
| 4 | HVAC — HVAC Control Assembly Solenoid Box, Mix Motor, DRL Module, HVAC Control Head, Defogger Relay, (S.E.O.) Digital Speedometer |
| 5 | Hazard Flash |
| 6 | R.H. Spot Lamp (S.E.O |
| 7 | Starter Relay |
| 8 | Not Used |
| 9 | Not Used |
| 10 | I/P Electronics Battery — Chime Module, Electronic Brake Control Module (EBCM), Theft-Deterrent Module, Radio DL |
| 11 | Power Accessory #2 — Sunroof Control Unit, (S.E.O.) Accessory Feed |
| 12 | Anti-Theft/PCM — Theft-Deterrent Module, Powertrain Control Module, (PCM) IGN Syst. Relay |
| 13 | ABS — Electronic Brake Control Module (EBCM), ABS Relay |
| 14 | HVAC Blower Motor — Blower Motor Relay |
| 15 | L.H. Spot Lamp (S.E.O) |
| 16 | Steering Wheel Control #1 — Steering Wheel Radio Control Lighting |
| 17 | Not Used |
| 18 | Not Used |
| 19 | Power Accessory #1 — Door Lock Switches, Trunk Courtesy Lamp, O/S Mirror Switch, (S.E.O.) Emergency Vehicle-Rear Compartment Lid Lamp or Window Panel Lamps |
| 20 | Steering Wheel Control #2 — Steering Wheel Radio Controls |
| 21 | Air Bag — Air Bag System |
| 22 | Cruise Control — Cruise Control Cut-Out Switch, Cruise Control Module, Turn Signal Cruise Control Switch |
| 23 | Stoplamps — Stoplamp Switch (Brake) |
| 24 | Not Used |
| 25 | English/Metric (S.E.O.) |
| 26 | Not Used |
| 27 | Not Used |
| 28 | CTSY Lamps — Vanity Mirrors, I/P Compartment Lamp, US Lighted Rearview Mirror, Dome Lamp |
| 29 | WIPER — Wiper Switch |
| 30 | TURN SIGNAL — Turn Signal Flasher |
| 31 | Not Used |
| 32 | Power Locks — Door Lock Relay, Remote Keyless Entry Receiv |
| 33 | DRL MDL — Daytime Running Lamp Module, (S.E.O.) Accessory Switch |
| 34 | Not Used |
| 35 | Not Used |
| 36 | Not Used |
| 37 | Rear Defog — Rear Window Defogger Switch Relay |
| 38 | Radio — Radio, Power Drop |
| 39 | I/P Electronics Ignition Feed — Headlamp Switch, Instrument Cluster, Chime Module, Keyless Entry Receiver, Stoplamp switch (TCC and BTSI) (S.E.O.) Accessory Switch |
| 40 | Not Used |
| 41 | Power Drop |
| 42 | Evap. Sol. — Evaporation Emissions (EVAP) Canister Vent Solenoid Valve |
| 43 | Not Used |
| 44 | Not Used |
| 45 | Not Used |
| Circuit Breakers | |
| A | Not Used |
| B | Not Used |
| C | Power Windows |
| D | Power Seats |
| E | Not Used |
Engine Compartment Fuse Box №1 (Passenger Side)

Assignment of the fuses and relay in the Engine Compartment Fuse Box №1 (1998, 1999)
| Name/№ | Description |
|---|---|
| R/CMPT REL | Remote Trunk Release, Back-up Lamps, Remote Control Door Lock Receive |
| PCM BAT | Powertrain Control Module (PCM), Fuel Pump Relay, Fan Cont #1 and #2 Rela |
| A/C CONT | A/C CMPR Relay |
| TRANS | Automatic Transaxle |
| F/INJN | Fuel Injectors |
| PCM IGN | Mass Air Flow (MAF) Sensor Heated Oxygen Sensor #1 and #2 Evaporative Emissions (EVAP) Canister Purge Solenoid Valve |
| ELEK IGN | Electronic Ignition (EI) Control Module |
| 10 | I/P Fuse Block |
| 12 | Passenger’s Side Underhood Electrical Center, IGN SYST Relay, WCMPT REL Fuse, PCM BAT Fuse |
| 13 | FAN CONT #1 Relay |
| Relay | |
| 14 | FUEL PUMP |
| 15 | A/C CMPR |
| 16 | FAN CONT #2 — Secondary Cooling Fan (Passenger Side) |
| 17 | FAN CONT #1– Primary Cooling Fan (Driver Side) |
| 18 | IGN SYST |
Engine Compartment Fuse Box №2 (Driver’s side)

Assignment of the fuses and relay in the Engine Compartment Fuse Box №2 (1998, 1999)
| № | Usage |
|---|---|
| FAN#3 | FAN #3 Relay |
| PARK LPS | Headlamp Switch |
| HORN | Horn Relay |
| ABS | Anti-Lock Brake System |
| 11 | Circuit Breaker C, Starter Relay, STR WHL Control # 2, Power Accessory #2, and Theft Deterrent Relay |
| 12 | HD LPS — Circuit Breaker to Headlamp Switch |
| 13 | ABS — ABS Relay |
| Relay | |
| 14 | ABS — Anti-Lock Brake System |
| 15 | FAN CONT #3 — Secondary Cooling Fan (Passenger’s Side) |
| 16 | HORN |


